-
FxMath Harmonic Patterns Scanner
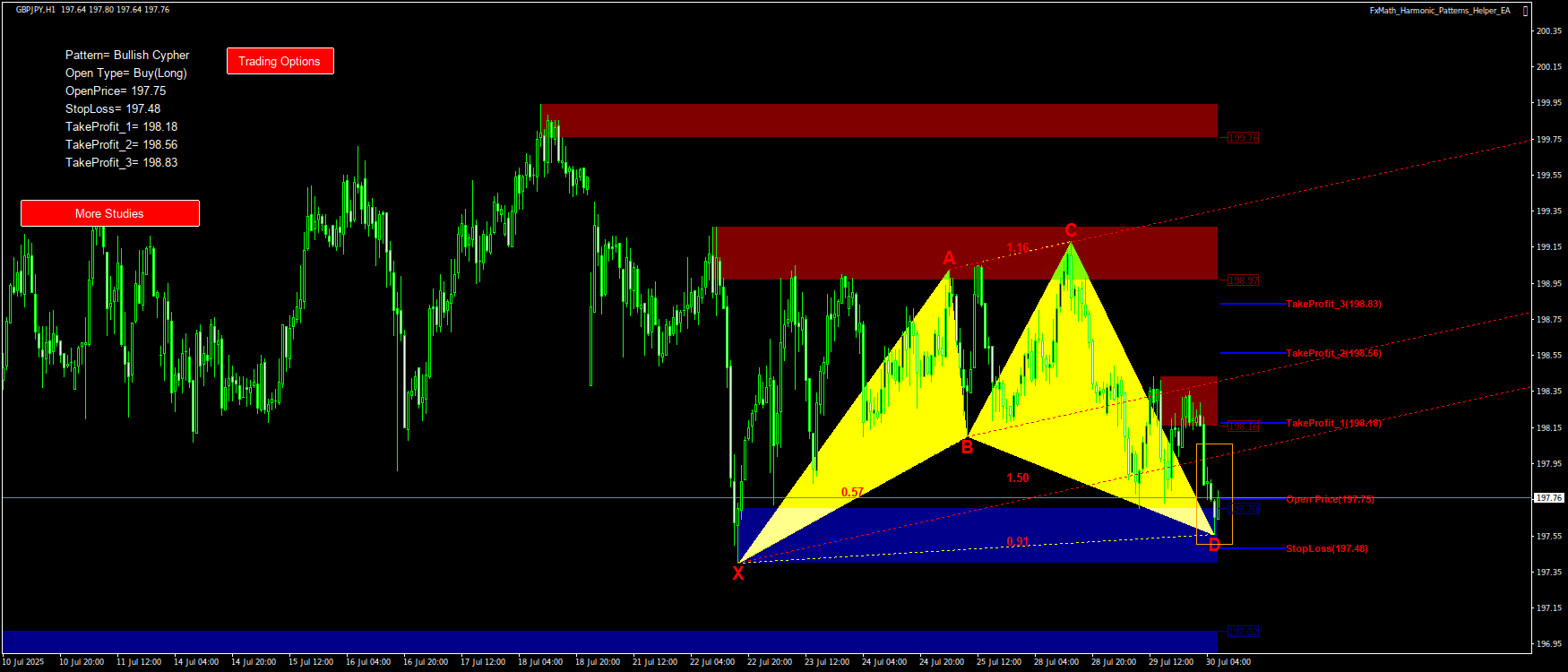
@GBPJPY(H1)-Pattern: Cypher : BuyStop@: 197.75, StopLoss: 197.48, TakeProfit_1: 198.18, TakeProfit_2: 198.56, TakeProfit_3: 198.83

Pay 89$ by Crypto instead of 199$ by regular payments
MT4 Payment Link: https://commerce.coinbase.com/checkout/d38bd415-87a7-4bf0-9c76-1889fa393ef8
MT5 Payment Link: https://commerce.coinbase.com/checkout/35a3660b-4b4f-4853-b042-34d2e83b972c
For more information or on purchasing this system please visit the below page:
https://www.fxmath.com/fxmath-harmonic-patterns-scanner/
Regards,
FxMath Financial Solution
Discover more from FxMath Financial Solution
Subscribe to get the latest posts sent to your email.